小程序
公众号
注册/登录
试题搜索
用看的、听的学真题
study by eyes and ears.
2026中级数据库系统工程师培训报名
2026高级系统分析师培训报名
首页
系统分析师
2007年05月系统分析师考试上午真题【基础知识】
真题详解
2007年05月系统分析师考试上午真题【基础知识】(第57题)
收藏
内容:基础知识
分数:1分
人气:103
【57】
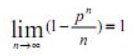
设每天发生某种事件的概率p很小,如不改变这种情况,长此下去,这种事件几乎可以肯定是会发生的。对上述说法,适当的数学描述是:设0<p<1,则
(57)
。
选择学
选项 (1.0分)
A
B
C
D
点击查看
文字解析
视频解析
第2章 数学与工程基础
→
2.1 数学统计基础
→
2.1.1 古典概率应用
概率
上一题
下一题
培训报名