小程序
公众号
注册/登录
试题搜索
用看的、听的学真题
study by eyes and ears.
2026中级数据库系统工程师培训报名
2026高级系统分析师培训报名
首页
系统分析师
2007年05月系统分析师考试上午真题【基础知识】
真题列表
2007年05月系统分析师考试上午真题【基础知识】
内容:基础知识
时间:120分钟
总分:75分
题数:75题
【38-39】某电子商务网站交易界面如下图所示。该电子商务交易方式为
(38)
。交易应对买卖双方都较公平,如借助图中示意的所谓“支付宝”,恰当的交易流程是
(39)
。
真题详情及解析
【40】数据的物理独立性是指当数据库的
(40)
。
真题详情及解析
【41】若系统中存在一个等待事务集{T
0
,T
1
,T
2
,…,T
n
},其中T
0
正等待被T
1
锁住的数据项D
1
,T
1
正等待被T
2
锁住的数据项D
2
,…,T
n-1
正等待被T
n
锁住的数据项D
n
,T
n
正等待被T
0
锁住的数据项D
0
,则系统处于
(41)
的工作状态。
真题详情及解析
【42-43】设有职工实体Employee(职工号,姓名,性别,年龄,通信地址,家庭成员),其中通信地址记录了邮编、省、市、街道信息;家庭成员记录了职工的亲属的姓名。职工实体中的通信地址是一个
(42)
属性;为了将数据库模式设计的更合理,对于家庭成员属性
(43)
。
真题详情及解析
【44】若关系模式中存在非主属性对码的部分依赖,则该关系模式属于
(44)
。
真题详情及解析
【45】在某学校的综合管理系统设计阶段,教师实体在学籍管理子系统中被称为“教师”,而在人事管理子系统中被称为“职工”,这类冲突被称之为
(45)
。
真题详情及解析
【46-47】在一个单CPU的计算机系统中,有三台不同的外部设备R1、R2、R3和三个进程P1、P2、P3。系统CPU调度采用可剥夺式优先级的进程调度方案,三个进程的优先级、使用设备的先后顺序和占用设备时间如下表所示:
假设操作系统的开销忽略不计,从三个进程同时投入运行到全部完成,CPU的利用率约为
(46)
%;R3的利用率约为
(47)
%(设备的利用率指该设备的使用时间与进程组全部完成所占用时间的比率)。
真题详情及解析
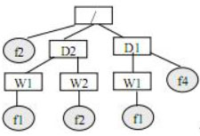
【48-49】在下图所示的树型文件系统中,方框表示目录,圆圈表示文件,“/”表示路径中的分隔符,“/”在路径之首时表示根目录。
假设当前目录是D2,进程A以如下两种方式打开文件f2。
方式①fd1=open(″
(48)
/f2″,O_RDONLY);
方式②fd1=open(″/D2/W2/f2″,O_RDONLY);
其中,方式①的工作效率比方式②的工作效率高,因为采用方式①,文件系统是从
(49)
。
真题详情及解析
【50】操作系统通常将I/O软件分成四个层次:用户应用层软件、中断处理程序、独立于设备的软件和设备驱动程序,分层的主要目的是
(50)
。
真题详情及解析
【51】虚拟内存是基于程序的局部性原理而设计的。下面关于局部性原理的描述正确的是
(51)
。
真题详情及解析
首页
上一页
1
2
3
4
5
6
下一页
末页
培训报名