用看的、听的学真题
study by eyes and ears.
2013年05月系统分析师考试上午真题【基础知识】(第48-50题)
收藏
【48-50】
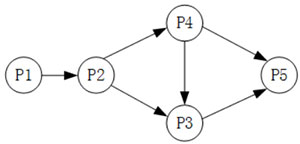
进程Pl、P2、P3、P4、P5的前趋关系图如下所示:

若用PV操作控制这5个进程的同步与互斥,程序如下:

程序中空a和空b处应分别为(48);空c和空d处应分别为(49);空e和空f处应分别为(50)。
选学
-
AV(S1)和V(S2)V(S3)
-
BP(SI)和V(S2)V(S3)
-
CP(SI)和P(S2)V(S3)
-
DP(SI)和P(S2)P(S3)
-
AV(S2)V(S4)和V(S5)
-
BP(S2)V(S4)和V(S5)
-
CP(S2)P(S4)和V(S5)
-
DP(S2)V(S4)和P(S5)
-
AV(S3)和V(S4)V(S6)
-
BP(S3)和V(S4)V(S5)
-
CP(S3)和P(S4)V(S6)
-
DP(S3)和V(S4)P(S6)