小程序
公众号
注册/登录
试题搜索
用看的、听的学真题
study by eyes and ears.
2026中级数据库系统工程师培训报名
2026高级系统分析师培训报名
首页
系统分析师
2013年05月系统分析师考试上午真题【基础知识】
真题详解
2013年05月系统分析师考试上午真题【基础知识】(第53题)
收藏
内容:基础知识
分数:1分
人气:98
【53】
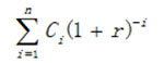
设某信息系统明年初建成后预计在第i(i=1、2、...n)年将能获得经济效益C
i
元,则该系统总的经济效益可以估计为
(53)
元,其中r是贴现率(利率)。
选择学
选项 (1.0分)
A
B
C
D
点击查看
文字解析
视频解析
第10章 系统规划与分析
→
10.8 成本效益分析
→
10.8.2 净现值分析
净现值分析
上一题
下一题
培训报名