小程序
公众号
注册/登录
试题搜索
用看的、听的学真题
study by eyes and ears.
2026中级数据库系统工程师培训报名
2026高级系统分析师培训报名
首页
系统分析师
2006年11月系统分析师考试上午真题【基础知识】
真题详解
2006年11月系统分析师考试上午真题【基础知识】(第54题)
收藏
内容:基础知识
分数:1分
人气:176
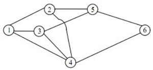
【54】
下图标出了某地区的运输网。
各结点之间的运输能力如下表:
从结点①到结点⑥的
最大
运输能力(流量)可以达到
(54)
万吨/小时。
必须学
选项 (1.0分)
A
26
B
23
C
22
D
21
点击查看
文字解析
视频解析
第2章 数学与工程基础
→
2.2 图论应用
→
2.2.3 网络与最大流量
最大流量
上一题
下一题
培训报名