用看的、听的学真题

study by eyes and ears.

  1. 首页
  2. 系统分析师
  3. 2005年11月系统分析师考试上午真题【基础知识】
  4. 真题详解

2005年11月系统分析师考试上午真题【基础知识】(第38-39题) 收藏

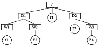
【38-39】 在下图所示的树型文件系统中,方框表示目录,圆圈表示文件,“/”表示路径之间的分隔符,“/”在路径之首时表示根目录,“..”表示父目录。假设当前目录是D1,“COPY”表示拷贝命令,那么,将文件f2拷贝到根目录中的正确命令是(38);下面对根目录中文件f1和子目录W1中文件f1描述正确的是(39)
选择学

【38】选项 (1.0分)

  • ACOPY D1/W2/f2 /
  • BCOPY W2/f2 ..
  • CCOPY /W2/f2..
  • DCOPY /W2/f2 /

【39】选项 (1.0分)

  • A根目录中文件f1和子目录W1中文件f1是完全相同的
  • B根目录中文件f1和子目录W1中文件f1是不相同的
  • C根目录中文件f1和子目录W1中文件f1可能相同也可能不相同
  • D树型文件系统中不允许出现相同名字的文件
培训报名