小程序
公众号
注册/登录
试题搜索
用看的、听的学真题
study by eyes and ears.
2026中级数据库系统工程师培训报名
2026高级系统分析师培训报名
首页
系统分析师
2004年11月系统分析师考试上午真题【基础知识】
真题详解
2004年11月系统分析师考试上午真题【基础知识】(第6-7题)
收藏
内容:基础知识
分数:2分
人气:204
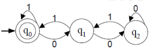
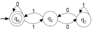
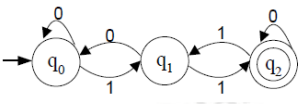
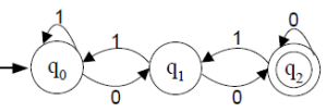
【6-7】
若将有限状态自动机(DFA)识别的0、1符号串看作二进制数,则
(6)
识别的是能被十进制数3整除的正整数,
(7)
是与该自动机等价的正规式。
不必学
【6】选项 (1.0分)
A
B
C
D
点击查看
文字解析
视频解析
第23章 补充章节
→
23.3 计算机编程语言
→
23.3.2 程序工作原理
状态机
【7】选项 (1.0分)
A
0*(101*01)*0*
B
(0*10101)*
C
(0*(11)*(00)*)*
D
(0*(1(01*0)*1)*)*
点击查看
文字解析
视频解析
第23章 补充章节
→
23.3 计算机编程语言
→
23.3.2 程序工作原理
正规式
上一题
下一题
培训报名