小程序
公众号
注册/登录
试题搜索
用看的、听的学真题
study by eyes and ears.
2026中级数据库系统工程师培训报名
2026高级系统分析师培训报名
首页
系统分析师
2015年05月系统分析师考试上午真题【基础知识】
真题列表
2015年05月系统分析师考试上午真题【基础知识】
内容:基础知识
时间:120分钟
总分:75分
题数:75题
【37】以下关于企业应用集成的叙述中,正确的是
(37)
。
真题详情及解析
【38】企业信息化战略与企业战略集成时,对于现有信息系统不能满足当前管理中业务需要的企业,适用的方法是
(38)
。
真题详情及解析
【39】在综合考虑企业内外环境,以集成为核心,围绕企业战略需求进行信息系统规划时,适合于采用的方法是
(39)
。
真题详情及解析
【40】数据仓库中数据
(40)
的特点是指数据一旦进入数据仓库后,将被长期保留并定期加载和刷新,可以进行各种查询操作,但很少对数据进行修改和删除操作。
真题详情及解析
【41】数据挖掘的分析方法可以划分为关联分析、序列模式分析、分类分析和聚类分析四种。如果某方法需要一个示例库(该库中的每个元组都有一个给定的类标识)做训练集时,这种分析方法属于
(41)
。
真题详情及解析
【42-43】给定关系模式R(A
1
,A
2
,A
3
,A
4
),R上的函数依赖集F={A
1
A
3
→A
2
,A
2
→A
3
},则R
(42)
。若将R分解为ρ={(A
1,
A
2
),(A
1
,A
3
)},那么该分解
(43)
。
真题详情及解析
【44-45】关系R、S如下表所示,R÷(π
A1A2
(σ
1<3
(S)))的结果为
(44)
,R、S的左外联接、右外联接和完全外联接的元组个数分别为
(45)
。
真题详情及解析
【46-47】当用户开机按下PC机电源开关对,PC机首先执行的是
(46)
,然后加载
(47)
。
真题详情及解析
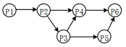
【48-50】进程P1、P2、P3、P4、P5和P6的前趋图如下所示:
若用PV操作控制这6个进程的同步与互斥的程序如下,那么程序中的空①和空②处应分别为
(48)
;空③和空④处应分别为
(49)
;空⑤和空⑥处应分别为
(50)
。
真题详情及解析
【51】嵌入式系统初始化过程主要有3个环节,按照自底向上、从硬件到软件的次序依次为
(51)
。
真题详情及解析
首页
上一页
1
2
3
4
5
6
下一页
末页
培训报名