用看的、听的学真题
study by eyes and ears.
2008年05月系统分析师考试上午真题【基础知识】(第53-54题)
收藏
【53-54】
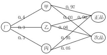
某轴承厂有甲、乙、丙三个车间,各车间生产的轴承数量分别占全厂的40%、30%、30%,各车间的次品率分别为3%、4%、5%(正品率分别为97%、96%、95%)。以上叙述可以图示如下。

在图中,从“厂”结点出发选择三个车间产品的概率分别为0.4、0.3、0.3,从各“车间”结点出发选择“正品”或“次品”的概率如图所示。从“厂”结点出发,到达“正品”(或“次品”)结点,可以有多条路径。例如,路径“厂-甲-次品”表示该厂甲车间生产的次品,其概率P(厂-甲-次品)应等于各段上的概率之积。而该厂总的次品率应等于从“厂”结点到达“次品”结点的所有路径算出的概率之和(全概率公式)。而其中每条路径算出的概率在总概率中所占的比例,就是已知抽取产品结果再推测其来源(路径)的概率(逆概率公式)。根据以上描述,可以算出,该厂的正品率约为(53)。如果上级抽查取出了一个次品,那么,该次品属于甲车间生产的概率约为(54)。
选择学
-
A0.963
-
B0.961
-
C0.959
-
D0.957