用看的、听的学真题

study by eyes and ears.

  1. 首页
  2. 系统分析师
  3. 2005年11月系统分析师考试上午真题【基础知识】
  4. 真题详解

2005年11月系统分析师考试上午真题【基础知识】(第20-21题) 收藏

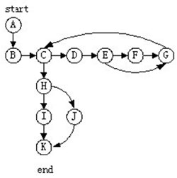
【20-21】 根据McCabe环路复杂性度量,下面程序图的复杂度是(20),对这个程序进行路径覆盖测试,可得到的基本路径是(21)
不必学

【20】选项 (1.0分)

  • A2
  • B3
  • C4
  • D5

【21】选项 (1.0分)

  • AA-B-C-H-I-K;A-B-C-H-J-K;A-B-C-D-E-F-G
  • BA-B-C-H-I-K;A-B-C-H-J-K;A-B-C-D-E-F-G-C-H-I-K;A-B-C-D-E-G-C-H-I-K
  • CA-B-C-H-I-K;A-B-C-H-J-K;A-B-C-D-E-F-G-C-H-I-K;A-B-D-E-G-C-H-J-K
  • DA-B-C-H-I-K;A-B-C-H-J-K;A-B-C-D-E-F-G-C-H-I-K;A-B-C-D-E-F-G-C-H-J-K;A-B-C-D-E-G-C-H-I-K
培训报名