用看的、听的学真题
study by eyes and ears.
2005年11月系统分析师考试上午真题【基础知识】(第22题)
收藏
【22】
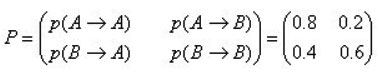
假设市场上某种商品有两种品牌A和B,当前的市场占有率各为50%。根据历史经验估计,这种商品当月与下月市场占有率的变化可用转移矩阵P来描述:

其中p(A→B)是A的市场占有份额中转移给B的概率,依次类推。这样。2个月后的这种商品的市场占有率变化为(22)。
不必学
老题型
-
AA的份额增加了10%,B的份额减少了10%
-
BA的份额减少了10%,B的份额增加了10%
-
CA的份额增加了14%,B的份额减少了14%
-
DA的份额减少了14%,B的份额增加了14%