小程序
公众号
注册/登录
试题搜索
用看的、听的学真题
study by eyes and ears.
2026中级数据库系统工程师培训报名
2026高级系统分析师培训报名
首页
搜索结果
知识点列表(17)
第1页
【系统分析师200511】【40-42】某工厂仓库有一名保管员,该仓库可存放n箱零件。该工厂生产车间有m名工人,只要仓库空闲,工人将生产好的整箱零件放入仓库,并由保管员登记入库数量;该工厂销售部有k名销售员,只要仓库库存数能满足客户要求,便可提货,并由保管员登记出库数量。规定工人和销售员不能同时进入仓库,但是工人和工人,销售员和销售员可以同时进入仓库,其工作流程如下图所示。
假设系统中P操作表示申请一个资源,当执行P操作时对信号量减1,若信号量S≥0,则执行P操作的进程继续执行,否则等待。系统中V操作表示释放一个资源,当执行V操作时对信号量加1,若信号量S>0,则执行V操作的进程继续执行;若信号量S≤0,则从阻塞状态唤醒一个进程,并将其插入就绪队列,然后执行V操作的进程继续。
为了利用PV操作正确地协调工人和销售员进程之间的工作,设置了信号量S1,S2和S3,它们的初值分别为n、0和1。图中的a和b应填写
(40)
;图中的e和f应分别填写
(41)
;图中的c、d、g和h应分别填写
(42)
。
真题详情及解析
【系统分析师200605】【46-47】某书店有一个收银员,该书店最多允许n个购书者进入。将收银员和购书者看作不同的进程,其工作流程如下图所示。利用PV操作实现该过程,设置信号量S1、S2和Sn,初值分别为0,0,n。则图中a1,a2应填入
(46)
,图中b1和b2应填入
(47)
。
真题详情及解析
【系统分析师200611】【46-47】若某航空公司的飞机订票系统有n个订票终端,系统为每个订票终端创建一个售票终端的进程。假设P
i
(i=1,2,…,n)表示售票终端的进程,H
j
(j=1,2,…,m)表示公共数据区,分别存放各个航班的现存票数,Temp为工作单元。系统初始化时将信号量S赋值为
(46)
。P
i
进程的工作流程如下,a、b和c处将执行P操作和V操作,则图中a、b和c应填入
(47)
。
真题详情及解析
【系统分析师200711】【51】某系统中有一个缓冲区,进程P1不断地加工数据送入缓冲区,进程P2不断地从缓冲区中取数据打印,用PV操作实现进程间的同步模型如图2所示。假设信号量S1的初值为1,信号量S2的初值为0,那么图2中a、b、c、d处应分别填
(51)
。
真题详情及解析
【系统分析师200811】【47-48】某酒店的客房预订系统有n个预订终端,系统为每个终端创建一个进程P
i
(i=1,2,…,n)。假设X
j
(j=1,2,…,m)存放各种规格住房的剩余房源,Temp为临时工作单元,终端创建一个进程Pi的工作流程如下图所示,图中①、②和③处将执行P操作或V操作。为了保证各进程间的同步与互斥,系统初始化时将信号量S赋值为
(47)
,下图中①、②和③处应依次填入
(48)
。
真题详情及解析
【系统分析师200905】【50-52】进程P1、P2、P3、P4、P5的前趋图如下:
若用PV操作控制进程并发执行的过程,则需要设置4个信号量S1、S2、S3和S4,且信号量初值都等于零。下图中a和b应分别填写
(50)
,c和d应分别填写
(51)
,e和f应分别填写
(52)
。
真题详情及解析
【系统分析师201005】【50-52】进程P1、P2、P3、P4、P5的前趋图如下。
若用PV操作控制进程并发执行的过程,则需要相应于进程执行过程设置5个信号量S1、S2、S3、S4和S5,且信号量初值都等于零。下图中a处应填写
(50)
;b和c、d和e处应分别填写
(51)
,f、g和h应分别填写
(52)
。
真题详情及解析
【系统分析师201205】【50-52】假设某系统采用非抢占式优先级调度算法,若该系统有两个优先级相同的进程P1和P2,各进程的程序段如下所示,若信号量S1和S2的初值都为0。进程P1和P2并发执行后a、b和c的结果分别为:a=
(50)
,b=
(51)
,c=
(52)
。
真题详情及解析
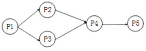
【系统分析师201305】【48-50】进程Pl、P2、P3、P4、P5的前趋关系图如下所示:
若用PV操作控制这5个进程的同步与互斥,程序如下:
程序中空a和空b处应分别为
(48)
;空c和空d处应分别为
(49)
;空e和空f处应分别为
(50)
。
真题详情及解析
【系统分析师201405】【46-48】进程P1、P2、P3、P4、P5和P6的前趋图如下所示:
若用PV操作控制这6个进程的同步与互斥的程序如下,那么程序中的空a、空b和空c处应分别为
(46)
;空d和空e处应分别为
(47)
;空f和空g处应分别为
(48)
。
真题详情及解析
首页
1
2
下一页
末页
培训报名